La tasa interna de retorno mide la rentabilidad de un determinado proyecto o negocio, además permite compararlo con la de otros proyectos en pro de conocer cuál sería una mejor inversión para la empresa y sus accionistas.
Cuanto mayor sea la TIR, más probable debe ser llevar a cabo dicho proyecto.
Para realizar este análisis de viabilidad, dicha TIR debe compararse con una tasa mínima de corte, la cual represente el costo de oportunidad. Se puede hacer una comparación simple y de acuerdo a ella se determina si el proyecto es factible de llevar a cabo o no.
¿Qué es la tasa interna de retorno?
Al indagar en el concepto de la Tasa Interna de Retorno (TIR), es común encontrar, aquel concepto que dice que es la tasa de descuento que hace el Valor Presente Neto (VPN) igual a 0. Entonces aquellos que no son expertos en el tema quedan en blanco, pues si bien esa definición es matemáticamente correcta, financieramente no dice mucho, por no decir que nada.
Dejando de lado el talente matemático del termino en cuestión, la tasa interna de retorno es la tasa de rentabilidad anual promedio que un proyecto deja a los inversionistas al invertir sus fondos en él y es comparable contra las expectativas de lo que se deseaba como mínimo obtener al invertir.
En tal sentido la Tasa Interna de Retorno permite al empresario conocer la viabilidad de invertir en un negocio determinado o considerar algunas otras opciones de menor riesgo para invertir.
El término interno hace referencia al hecho de que para su cálculo no se tiene en consideración factores externos, como por ejemplo, la inflación, las tasas de intereses, etc.
Como se calcula la tasa interna de retorno
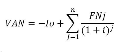
Primero hay que conocer el cálculo del (VAN) Valor Actual Neto, que supone los flujos de caja, es decir los ingresos menos los gastos netos, deduciendo la tasa de interés que se esperaba obtener, menos la inversión inicial.
Todo beneficio que sea mayor a cero, estará en favor de la empresa en relación a la inversión de menor riesgo. En otras palabras, si el resultado VAN es mayor a cero “0” bien vale la pena realizar una inversión en este proyecto, ya que aporta mayor beneficio.
Fórmula de Valor Actual Neto
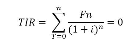
Fórmula de la Tasa Interna de Retorno
Realiza el mismo cálculo, lleva el VAN a cero, el resultado de esta ecuación es un porcentaje, que debe compararse con el porcentaje de interés definido más seguro.
Si TIR > r Si la tasa de retorno es mayor al costo de la oportunidad se rechaza el proyecto.
Si TIR < r Si la tasa de retorno es mayor al costo de la oportunidad se aprueba el proyecto.
¿Cuándo utilizar la TIR?
Supongamos que una empresa tiene la oportunidad de invertir en un nuevo proyecto, para el cual su banco le ofrece un crédito con 5% de interés. Bajo esta circunstancia, calcula el TIR del negocio obteniendo como resultado 8,7% con el cual decide conveniente invertir, ya que obtendrá una mayor rentabilidad.
Por ejemplo:
Un proyecto de inversión de 100 euros entrega en efectivo 133 euros los dos siguientes años y 170 euros el tercer año.
Se determinó que el WACC del proyecto es 9.50% significa que esta el mínimo a superar, después de eso crea valor para el accionista, menos de eso genera perdida.
Resolviendo la ecuación fácilmente con el Excel, la TIR es igual a 125% entonces terminadas las matemáticas, se analiza la financiera.
Ese 125% es la tasa de rentabilidad, promedio que el proyecto genera anualmente por la inversión.
Desde el punto de vista de la TIR, es sencillo captar el medir del proyecto, pues el mínimo que necesitan estos inversionistas de este proyecto, como rendimiento es el 9.50% anual de retorno muy favorable.
Importancia y beneficios de la Tasa Interna de Retorno
La TIR convierte la rentabilidad obtenida por la empresa en una tasa o porcentaje de rentabilidad, comparable a tasas de rentabilidad de inversiones de bajo riesgo, para así conocer realmente la alternativa más rentable. Siendo conveniente invertir en la de mayor rentabilidad y menor riesgo.
Por ello se considera un porcentaje usado para medir la viabilidad de una empresa o proyecto, que determina la rentabilidad de cobros y pagos reales generados por la inversión.
Convirtiéndose en una herramienta útil, capaz de generar un valor cuantitativo para saber si un determinado negocio o proyecto es viable, factible o no.
Los beneficios que aporta el Cálculo de la Tasa Interna de Retorno (TIR) son:
- Información centrada en los flujos netos de efectivo del proyecto.
- Se ajusta al valor real de la unidad monetaria y puede cotejarse con la tasa mínima de aceptación del rendimiento, la tasa de descuento, la tasa de oportunidad, o tasa de costo de capital.
- Maximiza la rentabilidad del negocio o proyecto a ejecutar.
- Resulta muy útil a la hora de analizar proyectos de inversión ya que proporciona la rentabilidad de la futura inversión.
En síntesis, la TIR representa una herramienta de importancia en la toma de decisión al momento de llevar a cabo un proyecto o negocio nuevo, ya que accede ponderar diversas opciones de rentabilidad y así determinar si el proyecto es viable o no.



consulta dado que nadie me lo puede clarificar con certeza, si a la TIR 125 % yo le quiero poner numeros, dado que habla de rentabilidad promedio anual sobre el capital aportado, en terminos monetarios y absolutos, cual seria la rentabilidad promedio anual para el ejemplo mencionado ??